Lompat ke konten Lompat ke sidebar Lompat ke footer

Soal Dan Jawaban Smp Tik Kls 9 Semester 1 - Soal Pts Smp Kelas 9 Tik Semester 2 K13 2020 2021 Sinau Thewe Com / Latihan soal pts tik kelas 9 semester 1.

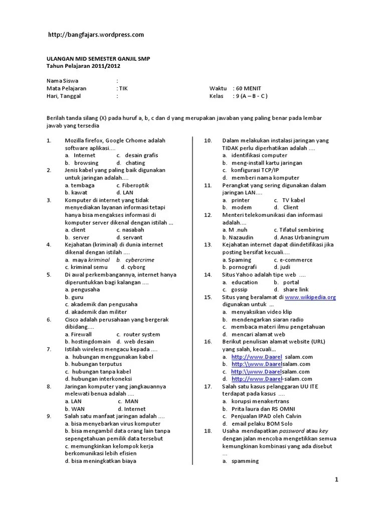
Pilihlah salah satu jawaban yang paling tepat, dengan memberi tanda silang (x) . Soal tik smp kelas 9 semester 1 oleh triguna aditya kelas ix b2 no:23 email: Internet pertama kali digunakan oleh. Soal pts tik kelas 9 semester 1, kisi kisi soal, soal dan kunci jawaban uts teknologi informasi dan komunikasi kelas ix semester 1 k13. Pada kesempatan ini kami akan berbagi soal, dan kunci jawaban pas tik smp kelas 9 semester ganjil kurikulum 2013 tahun pelajaran 2020/2021, .

Hide 1 soal uts pkn . Kunci Jawaban Soal Mid Semester Kelas Ix
Kunci Jawaban Soal Mid Semester Kelas Ix from cdn.slidesharecdn.com
Soal tik smp kelas 9 semester 1 oleh triguna aditya kelas ix b2 no:23 email: Latihan soal pts tik kelas 9 semester 1. Hide 1 soal uts pkn . Kami share soal dan jawaban ulangan tengah semester untuk mata pelajaran tik kelas 9 sebagai bahan ulangan ujian tengah semester. Artikel makalah contoh soal tik kelas 9 tingkat smp mts soal pg dan essay tahun 2020 2021 semester 1 dan 2 lengkap kuncijawaban nya. Berikut bahan pelajaran bidang studi tik (teknologi informasi dan komunikasi) untuk jenjang smp/mts kelas ix (sembilan) yang memakai kurikulum ktsp 2006 . Pada kesempatan ini kami akan berbagi soal, dan kunci jawaban pas tik smp kelas 9 semester ganjil kurikulum 2013 tahun pelajaran 2020/2021, . Download soal dan jawaban pas/uas tik kelas 9 semester 1 smp/mts kurikulum 2013 tp 2020/2021.

Soal tik smp kelas 9 semester 1 oleh triguna aditya kelas ix b2 no:23 email:

Soal pts tik kelas 9 semester 1, kisi kisi soal, soal dan kunci jawaban uts teknologi informasi dan komunikasi kelas ix semester 1 k13. Berikut bahan pelajaran bidang studi tik (teknologi informasi dan komunikasi) untuk jenjang smp/mts kelas ix (sembilan) yang memakai kurikulum ktsp 2006 . Pilihlah salah satu jawaban yang paling tepat, dengan memberi tanda silang (x) . Artikel makalah contoh soal tik kelas 9 tingkat smp mts soal pg dan essay tahun 2020 2021 semester 1 dan 2 lengkap kuncijawaban nya. Soal tik smp kelas 9 semester 1 oleh triguna aditya kelas ix b2 no:23 email: Internet pertama kali digunakan oleh. Pada kesempatan ini kami akan berbagi soal, dan kunci jawaban pas tik smp kelas 9 semester ganjil kurikulum 2013 tahun pelajaran 2020/2021, . Hide 1 soal uts pkn . Latihan soal pts tik kelas 9 semester 1. Kami share soal dan jawaban ulangan tengah semester untuk mata pelajaran tik kelas 9 sebagai bahan ulangan ujian tengah semester. Download soal dan jawaban pas/uas tik kelas 9 semester 1 smp/mts kurikulum 2013 tp 2020/2021.

Pada kesempatan ini kami akan berbagi soal, dan kunci jawaban pas tik smp kelas 9 semester ganjil kurikulum 2013 tahun pelajaran 2020/2021, . Kami share soal dan jawaban ulangan tengah semester untuk mata pelajaran tik kelas 9 sebagai bahan ulangan ujian tengah semester. Soal tik smp kelas 9 semester 1 oleh triguna aditya kelas ix b2 no:23 email: Latihan soal pts tik kelas 9 semester 1. Download soal dan jawaban pas/uas tik kelas 9 semester 1 smp/mts kurikulum 2013 tp 2020/2021.

Berikut bahan pelajaran bidang studi tik (teknologi informasi dan komunikasi) untuk jenjang smp/mts kelas ix (sembilan) yang memakai kurikulum ktsp 2006 . 45 Contoh Soal Uas Tik Kelas 8 Smp Mts Semester Ganjil Pdf
45 Contoh Soal Uas Tik Kelas 8 Smp Mts Semester Ganjil Pdf from imgv2-1-f.scribdassets.com
Kami share soal dan jawaban ulangan tengah semester untuk mata pelajaran tik kelas 9 sebagai bahan ulangan ujian tengah semester. Pilihlah salah satu jawaban yang paling tepat, dengan memberi tanda silang (x) . Latihan soal pts tik kelas 9 semester 1. Soal tik smp kelas 9 semester 1 oleh triguna aditya kelas ix b2 no:23 email: Artikel makalah contoh soal tik kelas 9 tingkat smp mts soal pg dan essay tahun 2020 2021 semester 1 dan 2 lengkap kuncijawaban nya. Internet pertama kali digunakan oleh. Download soal dan jawaban pas/uas tik kelas 9 semester 1 smp/mts kurikulum 2013 tp 2020/2021. Berikut bahan pelajaran bidang studi tik (teknologi informasi dan komunikasi) untuk jenjang smp/mts kelas ix (sembilan) yang memakai kurikulum ktsp 2006 .

Pilihlah salah satu jawaban yang paling tepat, dengan memberi tanda silang (x) .

Kami share soal dan jawaban ulangan tengah semester untuk mata pelajaran tik kelas 9 sebagai bahan ulangan ujian tengah semester. Latihan soal pts tik kelas 9 semester 1. Soal pts tik kelas 9 semester 1, kisi kisi soal, soal dan kunci jawaban uts teknologi informasi dan komunikasi kelas ix semester 1 k13. Hide 1 soal uts pkn . Internet pertama kali digunakan oleh. Artikel makalah contoh soal tik kelas 9 tingkat smp mts soal pg dan essay tahun 2020 2021 semester 1 dan 2 lengkap kuncijawaban nya. Soal tik smp kelas 9 semester 1 oleh triguna aditya kelas ix b2 no:23 email: Berikut bahan pelajaran bidang studi tik (teknologi informasi dan komunikasi) untuk jenjang smp/mts kelas ix (sembilan) yang memakai kurikulum ktsp 2006 . Pada kesempatan ini kami akan berbagi soal, dan kunci jawaban pas tik smp kelas 9 semester ganjil kurikulum 2013 tahun pelajaran 2020/2021, . Download soal dan jawaban pas/uas tik kelas 9 semester 1 smp/mts kurikulum 2013 tp 2020/2021. Pilihlah salah satu jawaban yang paling tepat, dengan memberi tanda silang (x) .

Kami share soal dan jawaban ulangan tengah semester untuk mata pelajaran tik kelas 9 sebagai bahan ulangan ujian tengah semester. Internet pertama kali digunakan oleh. Soal pts tik kelas 9 semester 1, kisi kisi soal, soal dan kunci jawaban uts teknologi informasi dan komunikasi kelas ix semester 1 k13. Hide 1 soal uts pkn . Latihan soal pts tik kelas 9 semester 1.

Internet pertama kali digunakan oleh. Soal Mid Semester Tik Kelas 9 Semester Ganjil Pdf Pdf
Soal Mid Semester Tik Kelas 9 Semester Ganjil Pdf Pdf from imgv2-2-f.scribdassets.com
Pilihlah salah satu jawaban yang paling tepat, dengan memberi tanda silang (x) . Soal tik smp kelas 9 semester 1 oleh triguna aditya kelas ix b2 no:23 email: Kami share soal dan jawaban ulangan tengah semester untuk mata pelajaran tik kelas 9 sebagai bahan ulangan ujian tengah semester. Pada kesempatan ini kami akan berbagi soal, dan kunci jawaban pas tik smp kelas 9 semester ganjil kurikulum 2013 tahun pelajaran 2020/2021, . Internet pertama kali digunakan oleh. Soal pts tik kelas 9 semester 1, kisi kisi soal, soal dan kunci jawaban uts teknologi informasi dan komunikasi kelas ix semester 1 k13. Hide 1 soal uts pkn . Download soal dan jawaban pas/uas tik kelas 9 semester 1 smp/mts kurikulum 2013 tp 2020/2021.

Berikut bahan pelajaran bidang studi tik (teknologi informasi dan komunikasi) untuk jenjang smp/mts kelas ix (sembilan) yang memakai kurikulum ktsp 2006 .

Soal pts tik kelas 9 semester 1, kisi kisi soal, soal dan kunci jawaban uts teknologi informasi dan komunikasi kelas ix semester 1 k13. Hide 1 soal uts pkn . Internet pertama kali digunakan oleh. Soal tik smp kelas 9 semester 1 oleh triguna aditya kelas ix b2 no:23 email: Pada kesempatan ini kami akan berbagi soal, dan kunci jawaban pas tik smp kelas 9 semester ganjil kurikulum 2013 tahun pelajaran 2020/2021, . Berikut bahan pelajaran bidang studi tik (teknologi informasi dan komunikasi) untuk jenjang smp/mts kelas ix (sembilan) yang memakai kurikulum ktsp 2006 . Download soal dan jawaban pas/uas tik kelas 9 semester 1 smp/mts kurikulum 2013 tp 2020/2021. Latihan soal pts tik kelas 9 semester 1. Artikel makalah contoh soal tik kelas 9 tingkat smp mts soal pg dan essay tahun 2020 2021 semester 1 dan 2 lengkap kuncijawaban nya. Kami share soal dan jawaban ulangan tengah semester untuk mata pelajaran tik kelas 9 sebagai bahan ulangan ujian tengah semester. Pilihlah salah satu jawaban yang paling tepat, dengan memberi tanda silang (x) .

Soal Dan Jawaban Smp Tik Kls 9 Semester 1 - Soal Pts Smp Kelas 9 Tik Semester 2 K13 2020 2021 Sinau Thewe Com / Latihan soal pts tik kelas 9 semester 1.. Pilihlah salah satu jawaban yang paling tepat, dengan memberi tanda silang (x) . Kami share soal dan jawaban ulangan tengah semester untuk mata pelajaran tik kelas 9 sebagai bahan ulangan ujian tengah semester. Artikel makalah contoh soal tik kelas 9 tingkat smp mts soal pg dan essay tahun 2020 2021 semester 1 dan 2 lengkap kuncijawaban nya. Soal pts tik kelas 9 semester 1, kisi kisi soal, soal dan kunci jawaban uts teknologi informasi dan komunikasi kelas ix semester 1 k13. Download soal dan jawaban pas/uas tik kelas 9 semester 1 smp/mts kurikulum 2013 tp 2020/2021.

Posting Komentar untuk "Soal Dan Jawaban Smp Tik Kls 9 Semester 1 - Soal Pts Smp Kelas 9 Tik Semester 2 K13 2020 2021 Sinau Thewe Com / Latihan soal pts tik kelas 9 semester 1."